[딥러닝] 신경망의 개요
인공 신경망(Artificial neural networks)이란?
인간과 동물의 두뇌를 구성하는 생물학적 신경 시스템의 원리를 바탕으로 설계된 계산 시스템
- 많은 수의 층으로 구성할수록(=심층 신경망) 더욱 높은 차원의 표현이 가능함
- 딥러닝: 심층 신경망을 학습하기 위해 활용되는 머신러닝 알고리즘
신경망의 기본 구조
- 활성함수(activation function)
- 일반적으로 비선형 특성을 갖는 함수를 사용함
- u의 값이 0보다 작으면 출력을 억제하고 0보다 크면 출력을 내도록 설계함
- 바이어스(bias)
- 뉴런이 활성화되는 레벨을 조정함
활성홤수의 종류
계단 함수
- 단위 계단 함수
- 정의역을 유한한 개수의 구간으로 나누어서 각 구간에서 상수인 함수
시그모이드 함수
- S자 형태의 곡선 함수
- 로지스틱 함수(logistic), 쌍곡탄젠트(tanh), 오차 함수(erf) 등
ReLU
- 심층망에서 경사 소멸 문제를 개선하기 위해 시그모이드 대안으로 활용되는 활성함수
ReLU의 변형
단층 피드포워드 신경망
피드포워드 신경망
입력층에서 출력층 방향으로 뉴런 층의 연결이 이루어지는 구조
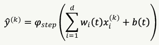
단층 퍼셉트론
하나의 층으로 구성된 가장 기본적인 피드포워드 신경망 구조
- 지도학습 방식으로 학습: 학습표본 (x, y)의 집합
- x: 입력
- y: 레이블
- 학습 대상 파라미터
- x: 입력이 뉴런에 전달되는 연결의 가중치
- b: 바이어스
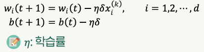
퍼셉트론의 학습
This post is licensed under CC BY 4.0 by the author.










